11 KiB
迭代与递归
在算法中,重复执行某个任务是很常见的,其与复杂度分析息息相关。因此,在展开介绍时间复杂度和空间复杂度之前,我们先来了解如何在程序中实现重复执行任务,即两种基本的程序控制结构:迭代、递归。
迭代
「迭代 iteration」是一种重复执行某个任务的控制结构。在迭代中,程序会在满足一定的条件下重复执行某段代码,直到这个条件不再满足。
for 循环
for 循环是最常见的迭代形式之一,适合预先知道迭代次数时使用。
以下函数基于 for 循环实现了求和 1 + 2 + \dots + n ,求和结果使用变量 res 记录。需要注意的是,Python 中 range(a, b) 对应的区间是“左闭右开”的,对应的遍历范围为 a, a + 1, \dots, b-1 。
[file]{iteration}-[class]{}-[func]{for_loop}
下图展示了该求和函数的流程框图。
此求和函数的操作数量与输入数据大小 n 成正比,或者说成“线性关系”。实际上,时间复杂度描述的就是这个“线性关系”。相关内容将会在下一节中详细介绍。
while 循环
与 for 循环类似,while 循环也是一种实现迭代的方法。在 while 循环中,程序每轮都会先检查条件,如果条件为真则继续执行,否则就结束循环。
下面,我们用 while 循环来实现求和 1 + 2 + \dots + n 。
[file]{iteration}-[class]{}-[func]{while_loop}
while 循环比 for 循环的自由度更高。在 while 循环中,我们可以自由设计条件变量的初始化和更新步骤。
例如在以下代码中,条件变量 i 每轮进行了两次更新,这种情况就不太方便用 for 循环实现。
[file]{iteration}-[class]{}-[func]{while_loop_ii}
总的来说,for 循环的代码更加紧凑,while 循环更加灵活,两者都可以实现迭代结构。选择使用哪一个应该根据特定问题的需求来决定。
嵌套循环
我们可以在一个循环结构内嵌套另一个循环结构,以 for 循环为例:
[file]{iteration}-[class]{}-[func]{nested_for_loop}
下图给出了该嵌套循环的流程框图。
在这种情况下,函数的操作数量与 n^2 成正比,或者说算法运行时间和输入数据大小 n 成“平方关系”。
我们可以继续添加嵌套循环,每一次嵌套都是一次“升维”,将会使时间复杂度提高至“立方关系”、“四次方关系”、以此类推。
递归
「递归 recursion」是一种算法策略,通过函数调用自身来解决问题。它主要包含两个阶段。
- 递:程序不断深入地调用自身,通常传入更小或更简化的参数,直到达到“终止条件”。
- 归:触发“终止条件”后,程序从最深层的递归函数开始逐层返回,汇聚每一层的结果。
而从实现的角度看,递归代码主要包含三个要素。
- 终止条件:用于决定什么时候由“递”转“归”。
- 递归调用:对应“递”,函数调用自身,通常输入更小或更简化的参数。
- 返回结果:对应“归”,将当前递归层级的结果返回至上一层。
观察以下代码,我们只需调用函数 recur(n) ,就可以完成 1 + 2 + \dots + n 的计算:
[file]{recursion}-[class]{}-[func]{recur}
下图展示了该函数的递归过程。
虽然从计算角度看,迭代与递归可以得到相同的结果,但它们代表了两种完全不同的思考和解决问题的范式。
- 迭代:“自下而上”地解决问题。从最基础的步骤开始,然后不断重复或累加这些步骤,直到任务完成。
- 递归:“自上而下”地解决问题。将原问题分解为更小的子问题,这些子问题和原问题具有相同的形式。接下来将子问题继续分解为更小的子问题,直到基本情况时停止(基本情况的解是已知的)。
以上述的求和函数为例,设问题 f(n) = 1 + 2 + \dots + n 。
- 迭代:在循环中模拟求和过程,从
1遍历到n,每轮执行求和操作,即可求得f(n)。 - 递归:将问题分解为子问题
f(n) = n + f(n-1),不断(递归地)分解下去,直至基本情况f(1) = 1时终止。
调用栈
递归函数每次调用自身时,系统都会为新开启的函数分配内存,以存储局部变量、调用地址和其他信息等。这将导致两方面的结果。
- 函数的上下文数据都存储在称为“栈帧空间”的内存区域中,直至函数返回后才会被释放。因此,递归通常比迭代更加耗费内存空间。
- 递归调用函数会产生额外的开销。因此递归通常比循环的时间效率更低。
如下图所示,在触发终止条件前,同时存在 n 个未返回的递归函数,递归深度为 n 。
在实际中,编程语言允许的递归深度通常是有限的,过深的递归可能导致栈溢出报错。
尾递归
有趣的是,如果函数在返回前的最后一步才进行递归调用,则该函数可以被编译器或解释器优化,使其在空间效率上与迭代相当。这种情况被称为「尾递归 tail recursion」。
- 普通递归:当函数返回到上一层级的函数后,需要继续执行代码,因此系统需要保存上一层调用的上下文。
- 尾递归:递归调用是函数返回前的最后一个操作,这意味着函数返回到上一层级后,无需继续执行其他操作,因此系统无需保存上一层函数的上下文。
以计算 1 + 2 + \dots + n 为例,我们可以将结果变量 res 设为函数参数,从而实现尾递归。
[file]{recursion}-[class]{}-[func]{tail_recur}
尾递归的执行过程如下图所示。对比普通递归和尾递归,求和操作的执行点是不同的。
- 普通递归:求和操作是在“归”的过程中执行的,每层返回后都要再执行一次求和操作。
- 尾递归:求和操作是在“递”的过程中执行的,“归”的过程只需层层返回。
!!! tip
请注意,许多编译器或解释器并不支持尾递归优化。例如,Python 默认不支持尾递归优化,因此即使函数是尾递归形式,但仍然可能会遇到栈溢出问题。
递归树
当处理与“分治”相关的算法问题时,递归往往比迭代的思路更加直观、代码更加易读。以“斐波那契数列”为例。
!!! question
给定一个斐波那契数列 $0, 1, 1, 2, 3, 5, 8, 13, \dots$ ,求该数列的第 $n$ 个数字。
设斐波那契数列的第 n 个数字为 f(n) ,易得两个结论。
- 数列的前两个数字为
f(1) = 0和f(2) = 1。 - 数列中的每个数字是前两个数字的和,即
f(n) = f(n - 1) + f(n - 2)。
按照递推关系进行递归调用,将前两个数字作为终止条件,便可写出递归代码。调用 fib(n) 即可得到斐波那契数列的第 n 个数字。
[file]{recursion}-[class]{}-[func]{fib}
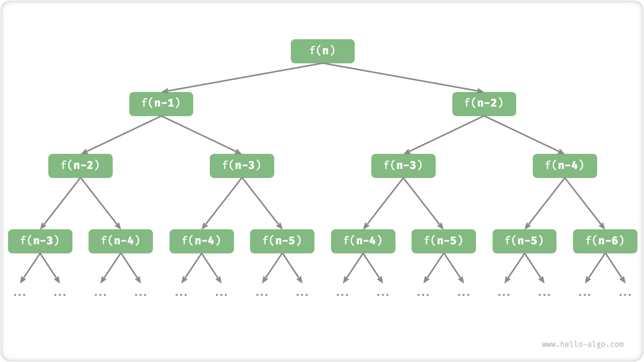
观察以上代码,我们在函数内递归调用了两个函数,这意味着从一个调用产生了两个调用分支。如下图所示,这样不断递归调用下去,最终将产生一个层数为 n 的「递归树 recursion tree」。
本质上看,递归体现“将问题分解为更小子问题”的思维范式,这种分治策略是至关重要的。
- 从算法角度看,搜索、排序、回溯、分治、动态规划等许多重要算法策略都直接或间接地应用这种思维方式。
- 从数据结构角度看,递归天然适合处理链表、树和图的相关问题,因为它们非常适合用分治思想进行分析。
两者对比
总结以上内容,如下表所示,迭代和递归在实现、性能和适用性上有所不同。
表 迭代与递归特点对比
| 迭代 | 递归 | |
|---|---|---|
| 实现方式 | 循环结构 | 函数调用自身 |
| 时间效率 | 效率通常较高,无函数调用开销 | 每次函数调用都会产生开销 |
| 内存使用 | 通常使用固定大小的内存空间 | 累积函数调用可能使用大量的栈帧空间 |
| 适用问题 | 适用于简单循环任务,代码直观、可读性好 | 适用于子问题分解,如树、图、分治、回溯等,代码结构简洁、清晰 |
!!! tip
如果感觉以下内容理解困难,可以在读完“栈”章节后再来复习。
那么,迭代和递归具有什么内在联系呢?以上述的递归函数为例,求和操作在递归的“归”阶段进行。这意味着最初被调用的函数实际上是最后完成其求和操作的,这种工作机制与栈的“先入后出”原则是异曲同工的。
事实上,“调用栈”和“栈帧空间”这类递归术语已经暗示了递归与栈之间的密切关系。
- 递:当函数被调用时,系统会在“调用栈”上为该函数分配新的栈帧,用于存储函数的局部变量、参数、返回地址等数据。
- 归:当函数完成执行并返回时,对应的栈帧会从“调用栈”上被移除,恢复之前函数的执行环境。
因此,我们可以使用一个显式的栈来模拟调用栈的行为,从而将递归转化为迭代形式:
[file]{recursion}-[class]{}-[func]{for_loop_recur}
观察以上代码,当递归被转换为迭代后,代码变得更加复杂了。尽管迭代和递归在很多情况下可以互相转换,但也不一定值得这样做,有以下两点原因。
- 转化后的代码可能更加难以理解,可读性更差。
- 对于某些复杂问题,模拟系统调用栈的行为可能非常困难。
总之,选择迭代还是递归取决于特定问题的性质。在编程实践中,权衡两者的优劣并根据情境选择合适的方法是至关重要的。





